1月20日,世界首个全超导托卡马克EAST装置获得重大成果,成功实现了上亿度1066秒稳态长脉冲高约束模等离子体运行,再次创造了托卡马克装置高约束模运行新的世界纪录。亿度千秒量级稳态高约束模的实现充分验证了聚变堆高约束模稳态运行的可行性,是聚变研究从基础科学研究迈向工程实践的重大拐点,把聚变能源的研发进程往前推进了一大步,对聚变堆的建设和运行具有重大的意义。
高约束运行模式因其效率高、经济性强,是未来聚变实验堆和工程堆稳态运行的基本模式。高约束模面临的最大挑战是高约束条件下边缘局域模引起的等离子体边缘区温度、密度台基的突然崩塌,该过程释放的强脉冲热流会导致偏滤器热负荷过载、靶板材料溅射损伤,大量杂质进入芯部等离子体引起大破裂,在实验装置上实现长脉冲稳态高约束模挑战大、难度高。正在开展的第22轮物理实验中,EAST大科学团队瞄准托卡马克稳态高性能等离子体前沿物理研究,解决了等离子体芯部与边界的物理集成、等离子体与壁相互作用、高功率加热系统注入耦合、第一壁材料排热、精密控制、实时诊断、主动冷却等系列前沿物理和工程技术问题,实现了超过1亿度1066秒的高约束模等离子体运行。
EAST装置自2006年建成运行以来,等离子体运行次数超过15万次,通过开放共享的建制化管理模式,在稳态等离子体运行的工程和物理上持续保持国际引领。就长脉冲高约束模运行来说,先后跨越60秒、100秒、400秒等重大里程碑,始终不断突破自我,挑战极限,冲击更高参数的长脉冲高约束模等离子体运行。2012年实现30秒高约束模,2016年实现60秒高约束模,2017年实现101秒高约束模,2023年实现403秒高约束模,2025年实现1066秒高约束模。

世界首个全超导托卡马克装置EAST

亿度千秒高约束模等离子体运行现场

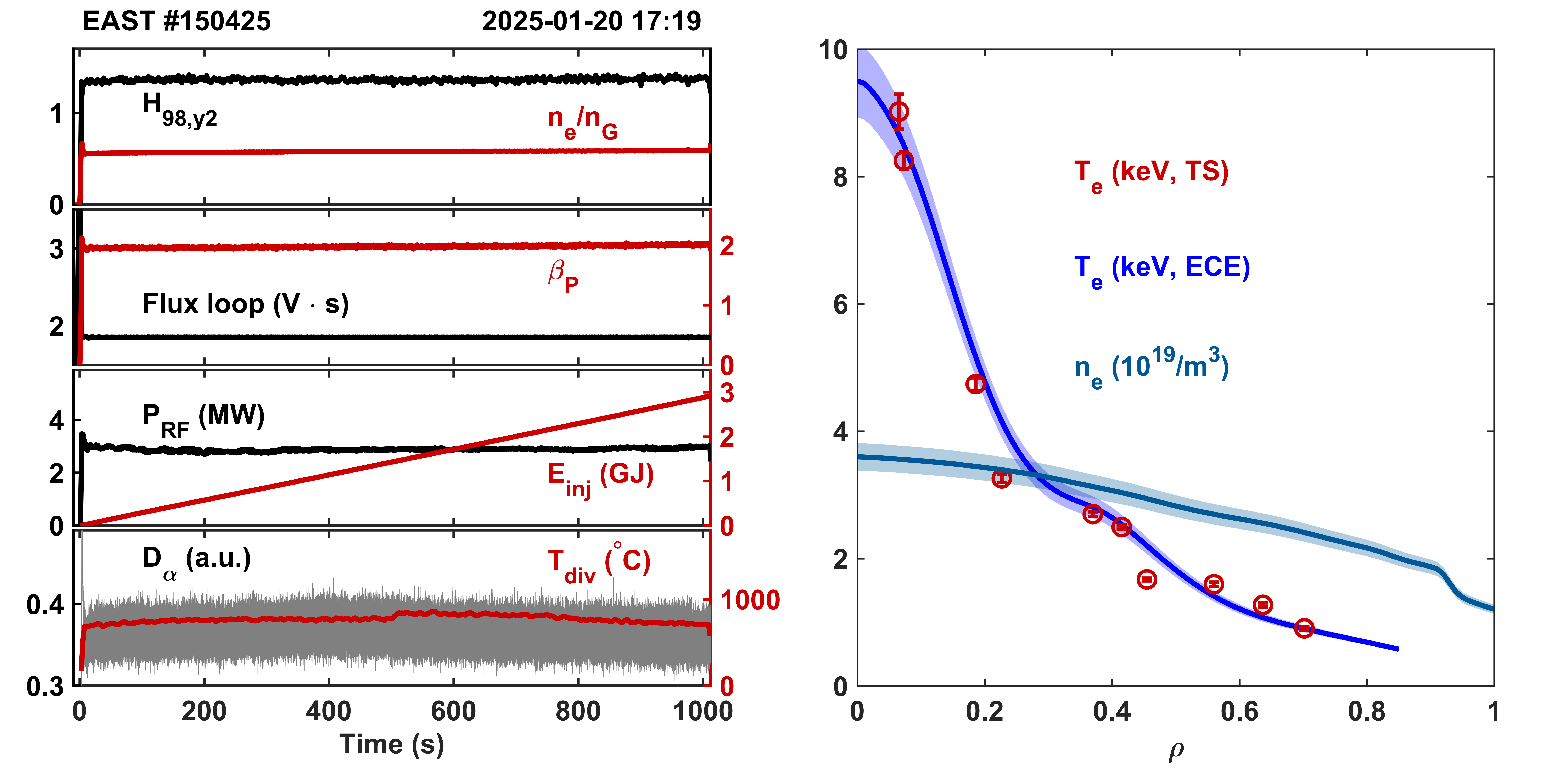
EAST装置获得1066秒的稳态高约束等离子体性能参数




EAST团队正在冲击高约束模等离子体运行





EAST团队庆祝实现1066秒高约束模等离子体运行

2025年1月20日EAST控制大厅实验现场