近日,等离子体所聚变堆材料及部件研究室博士生刘才斌在氢同位素输运的同位素效应研究方面取得新进展,相关成果发表在Nuclear Fusion期刊上[1]。
国际热核聚变实验堆ITER测试包层模块(TBM)的一项重要任务是评估氚增殖效率,但来自于等离子体的氚会轰击渗透进入TBM,并与增殖的氚混合,进而影响氚增殖效果评估。考虑到等离子体中含有氘、氚两种氢同位素粒子,其共渗透行为将显著区别于单同位素的情况,对于该现象还有诸多科学问题亟待解答。例如:氢同位素在低活化钢中的扩散过程是否服从经典质量效应? 同位素效应的温度依赖性如何? 粒子入射能量对其有何影响?
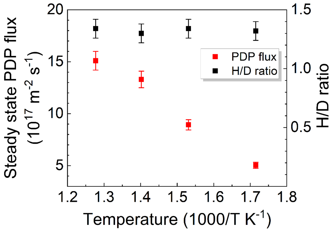
针对上述科学问题,课题组与ITER以及核工业西南物理研究院合作,基于TBM第一壁低活化钢材料CLF-1,以氢氘模拟氘氚,开展了混合等离子体驱动渗透的同位素效应研究。实验发现混合等离子驱动的氢同位素渗透仍然服从经典的质量效应,且该质量效应在不同温度以及粒子入射能量条件下基本保持不变。
本工作详细研究了混合等离子体驱动渗透的瞬态和稳态渗透行为,有助于预测ITER TBM第一壁的氚渗透量,也可为未来聚变堆中的氚渗透评估提供参考。
[1] Cai-Bin Liu et al 2022 Nucl. Fusion 62 126017
论文链接:https://doi.org/10.1088/1741-4326/ac9193

图一:混合等离子驱动渗透平台示意图

图二:混合等离子体驱动渗透的质量效应

图三:混合等离子体驱动渗透的温度效应

图四:混合等离子体驱动渗透的入射能量效应