近日,等离子体所托卡马克物理研究室胡建生研究员课题组在均匀流动液态锂限制器研究方面取得新进展,相关研究成果由左桂忠副研究员以 “Results from an improved flowing liquid lithium limiter with increased flow uniformity in high power plasmas in EAST”为题发表于核聚变领域顶级期刊Nuclear Fusion上。
流动的液态锂壁能承受更高的表面热负荷,具有自我修复能力,越来越被聚变界重视。近年来,课题组研究人员在2014年首轮流动液态锂实验(一代液态锂限制器)的基础上,进一步在锂壁对氢的控制与机制研究(G.Z. Zuo, et al., Fusion Eng. Des. 131 (2018) 41)及提高液态锂在316L不锈钢基底材料上的浸润性及界面相互作用研究方面(G.Z. Zuo, et al., Fusion Eng. Des. 137 (2018) 420)取得突破。在此基础上,通过优化流动液态锂限制器的结构:采用内置式双电磁泵、均匀分布的分配盒结构、引导盘表面毛细结构等,促进锂表面均匀流动;采用热等静压工艺,实现了表面不锈钢与铜热沉的良好贴合,提高表面的抗腐蚀性。实验结果表明,液态锂在316L不锈钢表面铺展面积>80%,基底表面无明显损伤;实现了高压氦气对液态锂的冷却,在欧姆放电中,冷却效率约55%;证明了液态锂可以循环利用。同时实验也发现随着锂流量的增加,再循环及铁杂质水平逐渐降低,等离子体行为提升;在加热功率达到4.5MW的条件下,未观察到锂的大量爆发的现象;进一步证实了流动液态锂对边界局域模(ELM)的缓解效果,随着液态锂放电的持续,ELM逐渐缓解或抑制,同时伴随等离子体约束的改善,这与液态锂表面锂的流出与再沉积后对氢再循环的控制密切相关。该研究拓展了流动液态锂作为未来聚变装置高热负荷区第一壁部件应用的可行性。
以上工作获得等离子体所相关科研人员的鼎力支持,同时也得益于国际同行的合作,特别是美国PPPL合作者的共同研究,并得到了国家重点研发项目、国家磁约束核聚变能发展研究专项、国家自然科学基金等项目的资助。
文章链接:http://iopscience.iop.org/article/10.1088/1741-4326/aaedcb/meta
图1 二代流动液态锂限制器结构示意图
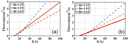
图2 双电磁泵(a)和单电磁泵(b)条件下锂的流量与电磁泵电流的关系
图3 流动液态锂壁条件下ELM行为变化:随着放电的持续ELM逐渐缓解(a),ELM的频率与幅值(b)

首页
科普动态